Maths Formula for Class 6,7,8,9,10,11,12 & Competitive Exams Booket Sheet pdf: Mathematics Important formulas for CBSE, ICSE, NCERT, SCERT classes from 6th to 12th and for all Competitive Exams like CAT, IAS, RRB, IBPS, JEE, GATE, NDA, RBI, SBI and other boards. These books are also separated into Level-1, Level-2, Level-3, and Class-wise.
Important Maths Formula Booklet for 6th to 12th Classes
Math formulas from algebra, trigonometry, integers, engineering formulas, polynomials, derivatives, and other important sections are divided here. Our main aim is to provide Important Formulas in Mathematics.
Without Knowing Formulas, Success in the Mathematics exam is impossible. Math formulas are implemented in the textbook from Class 6 with basics, and will gradually be introduced to higher classes to be tougher and more complicated. Without knowing basic formulas, one can not proceed to higher-class Formulae. So download the Complete Maths Formulae Book from the links below.
Basic Algebra Formulas
Square Formulas
- (a + b) 2 = a 2 + b 2 + 2ab
- (a − b) 2 = a 2 + b 2 − 2ab
- a 2 − b 2 = (a − b) (a + b)
- (x + a) (x + b) = x 2 + (a + b) x + ab
- (a + b + c) 2 = a 2 + b 2 + c 2 + 2ab + 2bc + 2ca
- (a + (−b) + (−c)) 2 = a 2 + (−b) 2 + (−c) 2 + 2a (−b) + 2 (−b) (−c) + 2a (−c)
- (a – b – c) 2 = a 2 + b 2 + c 2 − 2ab + 2bc − 2ca
Cube Formulas
- (a + b) 3 = a 3 + b 3 + 3ab(a + b)
- (a − b) 3 = a 3 – b 3 – 3ab(a – b)
- a 3 − b 3 = (a − b) (a 2 + b 2 + ab)
- a 3 + b 3 = (a + b) (a 2 + b 2 − ab)
- (a + b + c) 3 = a 3 + b 3 + c 3 + 3(a + b)(b + c)(c + a)
- a 3 + b 3 + c 3 − 3abc = (a + b + c) (a 2 + b 2 + c 2 − ab − bc − ac)
- If (a + b + c) = 0, a 3 + b 3 + c 3 = 3abc
Special Case Formulas
a n − b n = (a − b) (a n−1 + a n−2 b 1 + a n−3 b 2 + …. + a 1 b n−2 + b n−1 )
- √a = a 1/2
- ∛a = a 1/3
- n √a = a 1/n
- a p. a q = a p + q
- a p / a q = a p – q
- a p. b p = (ab) p
- (a p ) q. = a pq
- a 0 . = 1
- a –n. = 1/a n
Quadratic Formula: The roots of a quadratic equation ax2 + bx + c = 0 are given by x = [-b ± √(b2 – 4ac)]/2a.
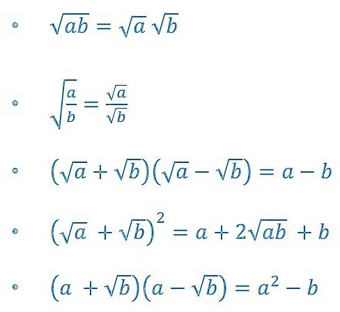
Irrational Numbers

Maths Formulas Book PDF for Competitive Exams
Every competitive Exam will have a maths subject. Many think mathematics is a tricky subject. But if you know the formulae, math is a hobby. Nowadays, mathematical questions are asked in competitive exams, interviews, and private job examinations/written tests. So, basic math formulas are important at academic and career levels.









